Algoritma Branch and Bound (B&B)
Algoritma Branch and Bound (B&B) juga merupakan metode pencarian di dalam ruang solusi secara sistematis.
Algoritma runut-balik skema DFS Algoritma B&B skema BFS
Untuk mempercepat pencarian ke simpul solusi, maka setiap simpul diberi sebuah nilai ongkos (cost).
Simpul berikutnya yang akan diekspansi tidak lagi berdasarkan urutan pembangkitannya (sebagaimana pada BFS murni), tetapi simpul yang memiliki ongkos yang paling kecil (least cost search) –pada kasus minimasi.
Nilai ongkos pada setiap simpul i menyatakan taksiran ongkos termurah lintasan dari simpul i ke simpul solusi (goal node):
)( ˆ i c = nilai taksiran lintasan termurah dari simpul status i ke status tujuan
Dengan kata lain, ) (ˆ ic
menyatakan batas bawah (lower bound) dari ongkos pencarian solusi dari status i.
KASUS BFS DISELESAIKAN DENGAN SKEMA MURNI
Solusi pertama dicapai pada simpul 30, yaitu X= (2, 4, 1, 3). Dengan skema BFS murni / FIFO, kita harus memperluas dulu simpul 12, simpul 15, dan simpul 16 sebelum memperluas simpul 22 yang melahirkan simpul solusi, yaitu simpul 30.
Pada algoritma B&B, pencarian ke simpul solusi dapat dipercepat dengan memilih simpul hidup berdasarkan nilai ongkos (cost).
Setiap simpul hidup diasosiasikan dengan sebuah ongkos yang menyatakan nilai batas (bound).
Simpul hidup yang menjadi simpul-E ialah simpul yang mempunyai nilai batas terkecil (strategi pencarian berdasarkan biaya terkecil(least cost search)).
Untuk setiap simpul X, nilai batas ini dapat berupa : 1. jumlah simpul dalam subpohon X yang perlu dibangkitkan sebelum simpul solusi ditemukan, atau 2. panjang lintasan dari simpulX ke simpul solusi terdekat (dalam subpohon X ybs)
Misal digunakan ukuran (b):
Pemberian nilai batas seperti pada persoalan N-Ratu di atas adalah nilai batas yang ideal, karena letak simpul solusi diketahui.
Pada umumnya, untuk kebanyakan persoalan, letak simpul solusi tidak diketahui, karena itu, dalam prakteknya, nilai batas untuk setiap simpul umumnya berupa taksiran atau perkiraan.
Fungsi heuristik untuk menghitung taksiran cost:
Simpul berikutnya yang dipilih untuk diekspansi adalah simpul yang memiliki c ˆ minimum
ALGORITMA BRANCH AND BOUND
1. Masukkan simpul akar ke dalam antrian Q. Jika simpul akar adalah simpul solusi (goal node), maka solusi telah ditemukan. Stop.
2. Jika Q kosong, tidak ada solusi. Stop.
3. Jika Q tidak kosong, pilih dari antrian Q simpul i yang mempunyai ) (ˆ ic paling kecil. Jika terdapat beberapa simpul i yang memenuhi, pilih satu secara sembarang.
4. Jika simpul i adalah simpul solusi, berarti solusi sudah ditemukan, stop. Jika simpul i bukan simpul solusi, maka bangkitkan semua anak-anaknya. Jika i tidak mempunyai anak, kembali ke langkah 2. 5. Untuk setiap anak j dari simpul i, hitung ) (ˆ jc , dan masukkan semua anak-anak tersebut ke dalam Q.
6. Kembali ke langkah 2.
PERSOALAN PERDAGANGAN KELILING (TRAVELLING SALESPERSON PROBLEM - TSP)
Misalkan
(i) G=(V,E) adalah graf lengkap TSP
(ii) V=n = jumlah simpul dalam graf G.
Simpul- simpul diberi nomor 1, 2, …, n.
(iii) cij = bobot sisi (i, j) (iv) perjalanan (tur) berawal dan berakhir di simpul 1. (v) S adalah ruang solusi, yang dalam hal ini
S = { (1, , 1) adalah permutasi (2, 3, ..., n) }
Solusi TSP dinyatakan sebagai X = (1, x1, x2, ..., xn – 1, 1) yang dalam hal ini
xo= xn = 1 (simpul asal = simpul akhir= 1).
Contoh instansiasi persoalan TSP:
Sebuah matriks dikatakan tereduksi jika setiap kolom dan barisnya mengandung paling sedikit satu buah nol dan semua elemenlainnyanon-negatif.
Contoh :
Tinjau graf lengkap berarah TSP dengan n = 5
Lakukan reduksi baris:
Kemudian, lakukan reduksi kolom (dari hasil reduksi baris di atas):
Total jumlah semua pengurang = (10 + 2 + 2 + 3 + 4) + (1 + 3) = 25.
Nilai 25 ini adalah nilai batas untuk simpul akar,
Selanjutnya, misalkan A adalah matriks tereduksi untuk simpul R.
Misalkan S adalah anak dari simpul R sedemikian sehingga sisi (R, S) pada pohon ruang status berkoresponden dengan sisi (i, j) pada perjalanan.
Jika S bukan simpul daun, maka matriks bobot tereduksi untuk simpul S dapat dihitung sebagai berikut:
(a) ubah semua nilai pada baris i dan kolom j menjadi . Ini untuk mencegah agar tidak ada lintasan yang keluar dari simpul i atau masuk pada simpul j;
(b) ubah A(j, 1) menjadi . Ini untuk mencegah penggunaan sisi (j, 1);
(c) reduksi kembali semua baris dan kolom pada matriks A kecuali untuk elemen .
Jika r adalah total semua pengurang, maka nilai batas untuk simpul S adalah:
Hasil reduksi ini menghasilkan matriks B.
Perhitungan selanjutnya:
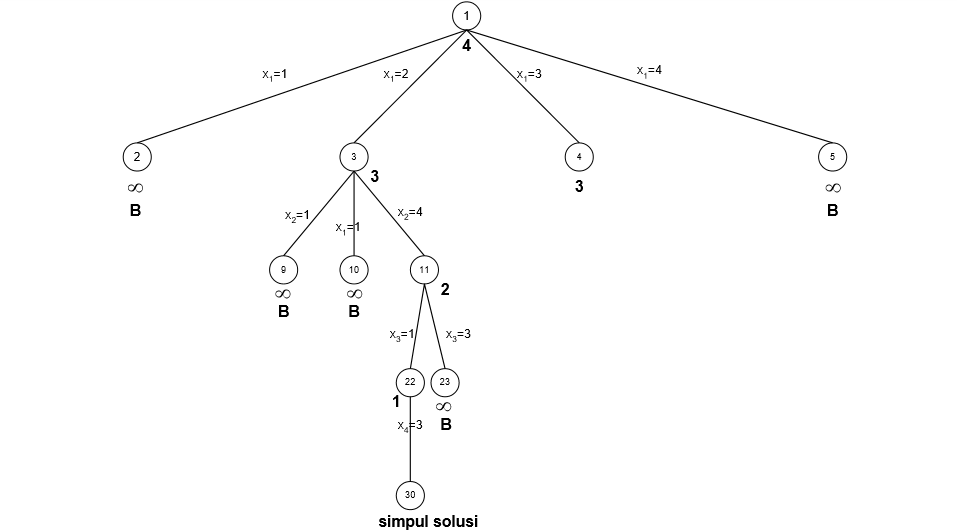
Pohon ruang status yang terbentuk sampai saat ini adalah:
Pohon ruang status yang terbentuk sampai saat ini adalah:
Pohon ruang status yang terbentuk sampai saat ini adalah:
Pohon ruang status yang terbentuk sampai saat ini adalah:
Karena tidak ada lagi simpul hidup di dalam pohon ruang status, maka X = (1, 4, 2, 5, 3, 1) menjadi solusi persoalan TSP di atas dengan bobot 28.
Terima Kasih telah membacanya semoga bermanfaat


































